渦街流量計壓力損失小,量程范圍大,精度高,在測量工況體積流量時幾乎不受流體密度、壓力、溫度、粘度等參數的影響。無可動機械零件,因此可靠性高,維護量小。儀表參數能長期穩定。渦街流量計采用壓電應力式傳感器,可靠性高,可在-20℃~+250℃的工作溫度范圍內工作。有模擬標準信號,也有數字脈沖信號輸出,容易與計算機等數字系統配套使用,是一種比較先進、理想的測量儀器,因此在很多工況上面被廣泛使用。浙江省作為中國經濟大省之一,工業發展迅速,因此生產渦街流量計的廠家有很多,這就給需要選購渦街流量計的顧客造成很多困擾,因為市面上的競爭很多,而渦街流量計并不比其他產品,一旦買到劣質產品,會給生產造成很大損失,因此,在選擇浙江渦街流量計生產廠家的前提是要對渦街流量計了解。

首先是原理,在流體中設置三角柱型旋渦發生體,則從旋渦發生體兩側交替地產生有規則的旋渦,這種旋渦稱為卡門旋渦,旋渦列在旋渦發生體下游非對稱地排列。
渦街流量計是根據卡門渦街原理(Kármán Vortex Street)測量氣體、蒸汽或液體的體積流量、標況的體積流量或質量流量的體積流量計。并可作為流量變送器應用于自動化控制系統中。
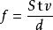
渦街流量計是應用流體振蕩原理來測量流量的,流體在管道中經過渦街流量變送器時,在三角柱的旋渦發生體后上下交替產生正比于流速的兩列旋渦,旋渦的釋放頻率與流過旋渦發生體的流體平均速度及旋渦發生體特征寬度有關,可用下式表示:

另外也要對安裝要求要有所了解,因為安裝不當,就有可能會對產品造成損害,從而減少使用壽命,
安裝要求:
1、合理選擇安裝場所和環境。
避開強電力設備,高頻設備,強電源開關設備;避開高溫熱源和輻射源的影響,避開強烈震動場所和強腐蝕 環境等,同時要考慮安裝維修方便。
2、上下游必須有足夠的直管段。
若傳感器安裝點的上游在同一平面上有二個90°彎頭,則:上游直管段≥25D,下游直管段≥5D 。
若傳感器安裝點的上游在不同平面上有二個90°彎頭,則:上游直管段≥40D,下游直管段≥5D 。
調節閥應安裝在傳感器的下游5D以外處,若必須安裝在傳感器的上游,傳感器上游直管段應不小于50D,下游應有不小于5D。
3、安裝點上下游的配管應與傳感器同心,同軸偏差應不小于0.5DN。
4、管道采取減振動措施。
傳感器盡量避免安裝在振動較強的管道上,特別是橫向振動。若不得已要安裝時,必須采取減振措施,在傳感器的上下游2D處分別設置管道緊固裝置,并加防振墊。

5、在水平管道上安裝是流量傳感器最常用的安裝方式。
測量氣體流量時,若被測氣體中含有少量的液體,傳感器應安裝在管線的較高處。
測量液體流量時,若被測液體中含有少量的氣體,傳感器應安裝在管線的較低處。
6、傳感器在垂直管道的安裝。
測量氣體流量時,傳感器可以安裝在垂直管道上,流向不限。若被測氣體中含有少量的液體,氣體流向應由下向上。
測量液體流量時,液體流向應由下向上:這樣不會將液體重量額外附加在探頭上。
7、傳感器在水平管道的側裝。
無論測量何種流體,傳感器可以在水平管道上側裝,特別是測量過熱蒸汽,飽和蒸汽和低溫液體,若條件允許最好采用側裝,這樣流體的溫度對放大器的影響較小。
8、傳感器在水平管道的倒裝。
一般情況下不推薦用此安裝方法。此安裝方法不適用于測量一般氣體、過熱蒸汽。可用于測量飽和蒸汽,適用于測量高溫液體或需經常清洗管道的情況。
9、傳感器在有保溫層管道上的安裝。
測量高溫蒸汽時,保溫層最多不能超過支架高度的三分之一。
10、測壓點和測溫點的選擇。
根據測量的需要,需在傳感器附近測量壓力和溫度時,測壓點應在傳感器下游的3-5D處,測溫點應在傳感器下游的6-8D處。

對選購產品的了解,才能避免那些不良廠家的忽悠,從而選購一款讓自己更加放心的產品,在這里,我給大家推薦杭州米科傳感技術有限公司,杭州米科傳感技術有限公司依托于國內外先進的技術與創新能力,在各領域不斷突破創新。公司發展至今已形成了完備的過程自動化儀器儀表生產線,為各領域客戶提供了包括流量計、壓力變送器、溫度傳感器、水質檢測儀、無紙記錄儀在內的過程自動化儀表。在購買產品的同時,也要考慮售后服務,為了就是使用過程中出現了什么產品問題,可以及時得到解決,以免因為質量問題耽誤生產,從而造成損失,米科傳感已在全國設立了20個線下服務中心,服務范圍輻射全國,為所有新老用戶提供了及時有效的服務保障:各領域工程師可親臨客戶現場,指導安裝,設備調試。公司所有產品均采用順豐速遞,確保傳感器安全、快速地到達客戶手中。因此,大家可以前往米科官網瀏覽,也許你可以買到糾結已久的產品,盡快投入使用。