許多采購和技術朋友在選擇渦街流量計的時候,通常會找性價比非常高的廠家,那么問題來了,怎么選擇一個性價比高的渦街流量計廠家呢?下面作為生產渦街流量計的廠家帶您走入渦街流量計的世界,揭開渦街流量計的神秘面紗。在這里,我簡單的給大家介紹幾個方便區分的點:

第一點,也是最最重要的一點,怎么判斷渦街流量計廠家哪家好。重量!相信肯定有朋友會問質量好不好,怎么和重量有關系呢?我來解釋下,渦街流量計一般多是用來測量蒸汽計費使用或者說壓縮空氣計量使用,在這類工況下,管道的振動會比較明顯,為什么振動會對流量計的精度造成影響呢?這就要解釋下渦街的測量原理了:
測量原理:在流體中設置三角柱型旋渦發生體,則從旋渦發生體兩側交替地產生有規則的旋渦,這種旋渦稱為卡門旋渦,旋渦列在旋渦發生體下游非對稱地排列。
渦街流量計是根據卡門渦街原理(Kármán Vortex Street)測量氣體、蒸汽或液體的體積流量、標況的體積流量或質量流量的體積流量計。并可作為流量變送器應用于自動化控制系統中。

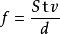
渦街流量計是應用流體振蕩原理來測量流量的,流體在管道中經過渦街流量變送器時,在三角柱的旋渦發生體后上下交替產生正比于流速的兩列旋渦,旋渦的釋放頻率與流過旋渦發生體的流體平均速度及旋渦發生體特征寬度有關,可用下式表示:

式中:

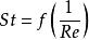
為旋渦的釋放頻率,單位為Hz;v為流過旋渦發生體的流體平均速度,單位為m/s;d為旋渦發生體特征寬度,單位為m;St為斯特勞哈爾數(Strouhal number),無量綱,它的數值范圍為0.14-0.27。
St是雷諾數的函數,

當雷諾數Re在

范圍內,St值約為0.2。在測量中,要盡量滿足流體的雷諾數在

,此時旋渦頻率

由此,通過測量旋渦頻率就可以計算出流過旋渦發生體的流體平均速度v,再由式

可以求出流量q,其中A為流體流過旋渦發生體的截面積。
可見一旦自身不太穩定,容易產生振動的話,那么整體的計量也一定是不準的,更多的也會出現小流量,或者精度較為低下。
國內有些廠家一般會在管道材質上面動手腳,導致本體不能承受高強度的壓力和比較高的蒸汽蒸汽,本身質輕,像國外的一些品牌,基本上都是會這些相同口徑流量計質量的2倍左右,穩定性相對更好。

綜上所述,相信大家看了這么多,應該已經了解了如何選擇渦街流量計的廠家,渦街流量計廠家哪家好,您這邊可以了解米科的我姐流量計,米科渦街流量計,采用的鍛打本體材質,同口徑的質量是國內一般廠家的1.5倍左右,穩定性上面是可以取代部分的國外品牌。